紫外线吸收剂
概况引见
商 品 名:紫外线吸收剂UV-3853
其他名称:抗紫外线剂UV-3853,光波动剂UV-3853
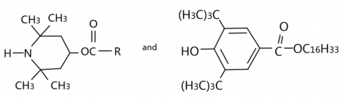
化学名称:2,2,6,6-四甲基-4-哌啶硬脂酸酯
性 状:蜡状固体。
化学结构式:
[技 术 指 标]
目标名称 | 目标 |
外 观 | 蜡状固体 |
熔 点 % | ≥28 |
皂化值mgKOH/g | 128-137 |
灰 分 % | ≤0.1 |
透光率 % | 425nm≥75 450nm≥85 |
应 用:
本品为新型受阻胺类光波动剂,用于聚烯烃塑料、聚氨酯、ABS 树脂、涂料、粘合剂、橡胶等, 其光波动效果优秀, 并具有无毒价廉之优点。
用 量:0.3-0.5(只供参考,实践应参照实验用量)
包装贮运:
◆纸桶包装,内衬塑料袋,净重为每桶25公斤。
◆在运输、储存之前应检查产品包装能否无损,在运输、储存过程中应分类堆放在干燥、清洁阴凉的库房中,严防产品受潮、受热、变质。
相关产品