¸Å¿öÒý¼û
ÉÌ Æ· Ãû£º×ÏÍâÏßÎüÊÕ¼ÁUV-3853PP5
ÆäËûÃû³Æ£º¿¹×ÏÍâÏß¼ÁUV-3853PP5,¹â²¨¶¯¼ÁUV-3853PP5
»¯Ñ§Ãû³Æ£º2,2,6,6-Ëļ׻ù-4-ßßà¤Ó²Ö¬Ëáõ¥ÓëPP50%µÄ»ìºÏÎï
ÐÔ ×´£º°×É«¿ÅÁ£¡£
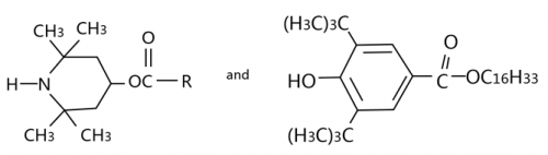
»¯Ñ§½á¹¹Ê½£º
[¼¼ Êõ Ö¸ ±ê]
Ä¿±êÃû³Æ | Ä¿±ê |
Íâ ¹Û | À¯×´¹ÌÌå |
ÈÛ µã £¥ | ¡Ý28 |
Ôí»¯ÖµmgKOH/g | 128-137 |
»Ò ·Ö £¥ | ¡Ü0.1 |
͸¹âÂÊ £¥ | 425nm¡Ý75 450nm¡Ý85 |
Ó¦ Óãº
±¾Æ·ÎªÐÂÐÍÊÜ×è°·Àà¹â²¨¶¯¼Á,ÔìÁ£ºó²¨¶¯¹¦ÄܽϺ㬳ÆÁ¿·½±ã£¬´¢´æ¹¤·ò¸ü³¤£¬·ÖÉ¢¹¦Äܸü¼Ñ¡£ÓÃÓÚ¾ÛÏ©ÌþËÜÁÏ¡¢¾Û°±õ¥¡¢ABS Ê÷Ö¬¡¢Í¿ÁÏ¡¢Õ³ºÏ¼Á¡¢Ï𽺵È, Æä¹â²¨¶¯Ð§¹ûÓÅÐã, ²¢¾ßÓÐÎÞ¶¾¼ÛÁ®Ö®Óŵ㡣
°ü×°ÖüÔË£º
¡ôֽͰ°ü×°£¬ÄÚ³ÄËÜÁÏ´ü£¬¾»ÖØÎªÃ¿Í°25¹«½ï¡£
¡ôÔÚÔËÊä¡¢´¢´æÖ®Ç°Ó¦¼ì²é²úÆ·°ü×°ÄÜ·ñÎÞËð£¬ÔÚÔËÊä¡¢´¢´æ¹ý³ÌÖÐÓ¦·ÖÀà¶Ñ·ÅÔÚ¸ÉÔï¡¢Çå½àÒõÁ¹µÄ¿â·¿ÖУ¬ÑÏ·À²úÆ·Êܳ±¡¢ÊÜÈÈ¡¢±äÖÊ¡£